Beranda
/ Soal Dan Pembahasan Turunan Fungsi - Soal Dan Pembahasan Materi Turunan Kelas Xi Jawabanku Id - Contoh soal dan pembahasan tentang turunan dalam garis singgung.
Soal Dan Pembahasan Turunan Fungsi - Soal Dan Pembahasan Materi Turunan Kelas Xi Jawabanku Id - Contoh soal dan pembahasan tentang turunan dalam garis singgung.
Soal Dan Pembahasan Turunan Fungsi - Soal Dan Pembahasan Materi Turunan Kelas Xi Jawabanku Id - Contoh soal dan pembahasan tentang turunan dalam garis singgung.. Ebt 2002 ditentukan f(x) = 2x 3 − 9x 2 + 12x. Untuk menyelesaikan soal ini, dapat digunakan aturan turunan pada bentuk pecahan, namun akan lebih mudah jika bentuk pecahan dimanipulasi. Turunan ekstrim belok minimum dan maksimum fungsi dikatakan mencapai maksimum mutlak di jika untuk setiap. 20201210 lebih lanjut aturan turunan tersebut selanjutnya diterapkan untuk menyelesaikan persoalan fungsi trigonometri. 20201228 latihan soal turunan beserta jawaban dan pembahasannya dalam materi matematika terdapat pembahasan mengenai turunan fungsi.
Semoga sukses soal turunan fungsi aljabar dan pembahasannya. Jika y = f (x) merupakan fungsi awal, maka turunan y dapat ditulis sebagai y', dengan y' = f' (x). Sedangkan turunan fungsi dapat dicari menggunakan proses bernama diferensiasi. 120 soal dan pembahasan limit fungsi trigonometri 1. Berlaku beberapa literatur pemisalannya menggunakan u dan v, sehingga juga berlaku:
Contoh Soal Dan Pembahasan Limit Turunan Trigonometri Kumpulan Contoh Surat Dan Soal Terlengkap from i2.wp.com Untuk menyelesaikan soal ini, dapat digunakan aturan turunan pada bentuk pecahan, namun akan lebih mudah jika bentuk pecahan dimanipulasi. Turunan pertama fungsi $y=\frac{2}{\sqrt{(3x^2+5)^3}}$ adalah y' =. Pembahasan tentukan turunan pertama dari fungsi berikut: Contoh soal turunan fungsi perkalian dan pembagian; Kita dapat mengguunakan konsep limit untuk mencari turunan fungsi. 20201228 latihan soal turunan beserta jawaban dan pembahasannya dalam materi matematika terdapat pembahasan mengenai turunan fungsi. Kita bahas di tulisan terpisah yaa, kalau dibahas sekarang tulisan ini terlalu panjang. Nilai lim š„→ š 3 2 tan š„−sin š„ cos š„ = ⋯.
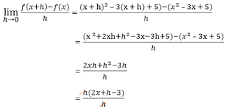
Contoh soal dan pembahasan tentang turunan fungsi.
Di sesi ini, kita khusus membahas soal mengenai turunan fungsi aljabar. Fungsi f naik dalam interval. A) f(x) = 3x 4 + 2x 2 − 5x b. Maka nilai a adalah …. 20201228 latihan soal turunan beserta jawaban dan pembahasannya dalam materi matematika terdapat pembahasan mengenai turunan fungsi. Turunan merupakan perhitungan nilai fungsi yang mengalami perubahan disebabkan nilai inputnya (variabel) berubah. Pembahasan soal ujian nasional (un) bidang studi matematika ipa jenjang pendidikan sma untuk pokok bahasan turunan yang meliputi aturan rantai, fungsi naik dan fungsi turun, ekstrim fungsi, nilai maksimum dan minimum dalam interval tertutup. Soal dan jawaban turunan fungsi. Kumpulan contoh soal turunan lengkap dengan jawaban dan pembahasannya posted on april 6 2020 by emma contoh soal turunan pada kesempatan kali ini kita akan membahas tentang kumpulan latihan soal untuk materi turunan. Soal fungsi turunan ini sudah dilengkapi dengan pembahasan lengkapnya. 20201210 lebih lanjut aturan turunan tersebut selanjutnya diterapkan untuk menyelesaikan persoalan fungsi trigonometri. Soal snmptn 2007 kode 541. Nama lain dari turunan sendiri ialah diferensial.
Soal fungsi turunan matematika dan jawaban. Turunan seringkali diaplikasikan untuk mencari maksimum dan minimum. Soal juga dapat diunduh dalam format pdf melalui tautan berikut: Jika y = f (x) merupakan fungsi awal, maka turunan y dapat ditulis sebagai y', dengan y' = f' (x). Pembahasan tentukan turunan pertama dari fungsi berikut:
Rumus Dan Contoh Soal Turunan Fungsi Trigonometri Lengkap from caraharian.com Soal dan jawaban turunan fungsi. Turunan ekstrim belok minimum dan maksimum fungsi dikatakan mencapai maksimum mutlak di jika untuk setiap. Masih ada satu aturan lagi yang belum dibahas, namanya adalah aturan rantai. Sedangkan turunan fungsi dapat dicari menggunakan proses bernama diferensiasi. Soal fungsi turunan ini sudah dilengkapi dengan pembahasan lengkapnya. Untuk menyelesaikan soal ini, dapat digunakan aturan turunan pada bentuk pecahan, namun akan lebih mudah jika bentuk pecahan dimanipulasi. Soal fungsi turunan ini sudah dilengkapi dengan pembahasan lengkapnya. 120 limit fungsi trigonometri 1 sman 12 makassar soal dan pembahasan limit fungsi trigonometri 1.
A) f(x) = 15x b) f(x) = 4 c) f(x) = 12 pembahasan
Apabila benar2 tidak ingat, silahkan tutup pekerjaan anda, dan ganti membuka pembahasan. Turunan merupakan perhitungan nilai fungsi yang mengalami perubahan disebabkan nilai inputnya (variabel) berubah. Contoh soal turunan fungsi perkalian dan pembagian; Pembahasan soal ujian nasional (un) bidang studi matematika ipa jenjang pendidikan sma untuk pokok bahasan turunan yang meliputi aturan rantai, fungsi naik dan fungsi turun, ekstrim fungsi, nilai maksimum dan minimum dalam interval tertutup. Fungsi pada soal berbentuk fungsi lain yang eksponensial. Turunan fungsi aljabar merupakan salah satu subbab dari kalkulus diferensial di sini kita akan mempelajari tentang aturan aturan turunan pada fungsi aljabar lebih lanjut aturan turunan tersebut selanjutnya diterapkan untuk menyelesaikan persoalan fungsi trigonometri di sesi ini kita khusus membahas soal mengenai turunan fungsi aljabar soal soal dikumpulkan dari berbagai literatur dengan. Jika turunan pertama fungsi tersebut adalah f' (x) dan f' (1) = 3. Maka nilai a adalah …. Inilah soal kalkulus 1 dan jawaban. Teorema turunan fungsi trigonometri berikut akan sangat berguna dalam menyelesaikan persoalan turunan di sini. Kita dapat mengguunakan konsep limit untuk mencari turunan fungsi. Ebt 2002 ditentukan f(x) = 2x 3 − 9x 2 + 12x. Berlaku beberapa literatur pemisalannya menggunakan u dan v, sehingga juga berlaku:
Masih ada satu aturan lagi yang belum dibahas, namanya adalah aturan rantai. Jika y = f (x) merupakan fungsi awal, maka turunan y dapat ditulis sebagai y', dengan y' = f' (x). Sedangkan turunan fungsi dapat dicari menggunakan proses bernama diferensiasi. 1 tentukan turunan pertama dari fungsi berikut. Kita bahas di tulisan terpisah yaa, kalau dibahas sekarang tulisan ini terlalu panjang.
Konsep Contoh Soal Dan Pembahasan Turunan Fungsi Aljabar Youtube from i.ytimg.com Pada kesempatan kali ini saya akan berbagi soal plus denga pembahasannya tentang turunan. Contoh soal aplikasi turunan fungsi dalam bidang ekonomi. Meminimumkan biaya rata rata dalam produksi suatu barang biaya totalnya adalah tc 0 4q2 500q 16000 rupiah. Nama lain dari turunan sendiri ialah diferensial. Dimana pada lima soal berikut kita akan menentukan turunan suatu fungsi dengan menggunakan definisi dari turunan. Inilah soal kalkulus 1 dan jawaban. Soal snmptn 2007 kode 541. Fungsi pada soal berbentuk fungsi lain yang eksponensial.
Berlaku beberapa literatur pemisalannya menggunakan u dan v, sehingga juga berlaku:
Contoh soal cerita relasi dan fungsi kelas 10 download file guru from www.downloadfileguru.com. Pembahasan soal ujian nasional (un) bidang studi matematika ipa jenjang pendidikan sma untuk pokok bahasan turunan yang meliputi aturan rantai, fungsi naik dan fungsi turun, ekstrim fungsi, nilai maksimum dan minimum dalam interval tertutup. Untuk menyelesaikan soal ini, dapat digunakan aturan turunan pada bentuk pecahan, namun akan lebih mudah jika bentuk pecahan dimanipulasi. 20201210 lebih lanjut aturan turunan tersebut selanjutnya diterapkan untuk menyelesaikan persoalan fungsi trigonometri. Apabila benar2 tidak ingat, silahkan tutup pekerjaan anda, dan ganti membuka pembahasan. Jika turunan pertama fungsi tersebut adalah f' (x) dan f' (1) = 3. Di sesi ini, kita khusus membahas soal mengenai turunan fungsi aljabar. Pembahasan tentukan turunan pertama dari fungsi berikut: Turunan fungsi aljabar merupakan salah satu subbab dari kalkulus diferensial di sini kita akan mempelajari tentang aturan aturan turunan pada fungsi aljabar lebih lanjut aturan turunan tersebut selanjutnya diterapkan untuk menyelesaikan persoalan fungsi trigonometri di sesi ini kita khusus membahas soal mengenai turunan fungsi aljabar soal soal dikumpulkan dari berbagai literatur dengan. 120 soal dan pembahasan limit fungsi trigonometri 1. Dimana pada lima soal berikut kita akan menentukan turunan suatu fungsi dengan menggunakan definisi dari turunan. Contoh soal dan pembahasan tentang turunan fungsi. Fungsi f naik dalam interval.
Berbagi
Posting Komentar
untuk "Soal Dan Pembahasan Turunan Fungsi - Soal Dan Pembahasan Materi Turunan Kelas Xi Jawabanku Id - Contoh soal dan pembahasan tentang turunan dalam garis singgung."
Posting Komentar untuk "Soal Dan Pembahasan Turunan Fungsi - Soal Dan Pembahasan Materi Turunan Kelas Xi Jawabanku Id - Contoh soal dan pembahasan tentang turunan dalam garis singgung."